岩井の数学ブログ
~根本から理解~
メニュー
サイドバー
前へ
次へ
検索
インストール
2025年3月15日高校数学
2026年1月19日
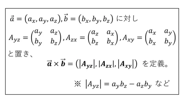
” 外積 “の定義から説明をし、すぐに導ける基本的な性質を証明しています。
記事を読む 外積 | 定義から ...